경상남도 양산시 중부동의 양산 금호 리첸시아 시그니처 아파트 단지 분양정보 및 청약 신청에 대해 궁금하신 분들을 위해 교통, 교육과 같은 입지분석을 포함하여 청약일정, 분양가 등도 함께 알려드리겠습니다. 먼저 사업개요입니다.

□ 사업명 : 금호건설 양산 금호 리첸시아 시그니처
□ 위치 : 경남 양산시 중부동 402번지
□ 공급규모 : 지하 4층 ~ 지상 44층 2개동
□ 용적율 : 957.78%
□ 건폐율 : 60.2%
□ 세대수 : 총 237세대(84A 80세대, 84B 79세대, 84C 39세대, 84D 39세대)
□ 문의전화 : 055-363-2224
입지분석

1) 교통
양산 금호 리첸시아는 부산도시철도 2호선 양산역을 연장한 양산종합운동장역(2024년 예정)에서 도보 3분 거리에 위치하고 있습니다. 또한 북정-노포선(예정)과 2호선을 연결하는 환승역 역할을 할 것으로 예정되어 있기 때문에 양산 교통의 중심지 역할을 할 것으로 기대됩니다. 고속도로는 양산 JC를 통해 중앙고속도로지선을 이용할 수 있기 때문에 자가용을 이용하시는 분들에게도 좋은 교통 입지를 가지고 있습니다.
2) 교육
바로 길 건너 도보 5분 이내 거리에 양주 초등학교와 중부 초등학교가 있습니다. 또한 다리 하나만 건너면 양산제일 고등학교와 양산 여자 고등학교가 있고 지하철 역 세 정거장 떨어진 곳에 부산대학교 양산캠퍼스가 위치하고 있습니다.
3) 주변 편의시설
바로 옆에 양산 종합운동장이 있어 문화생활을 즐기기 좋습니다. 또 지하철 한 정거장 거리에 이마트와 남부재래시장이 있어 장 보기도 편리하고 울산지방법원과 양산시청이 근처에 있어 양산시의 중심이라고 볼 수 있습니다. 또 양산 시외버스터미널도 쉽게 갈 수 있는 거리에 있기 때문에 어렵지 않게 이동하실 수 있을 것으로 예상됩니다. 주변에 큰 의료시설이 없는 것은 조금 아쉽지만 교통이 좋기 때문에 다른 지역의 의료시설도 쉽게 접근 가능합니다.
4) 주변 산업(일자리)
우선 위에서 말씀드렸듯이 양산시청과 울산지방법원 양산시법원 등이 있기 때문에 공무원이시거나 판검사를 직업으로 두신 분들에게 적합한 위치라고 볼 수 있습니다. 양산워터파크, CGV 등 문화생활을 즐길 수 있는 시설들이 많은 것도 산업의 발달, 일자리 창출에 긍정적인 영향을 줍니다.
5) 자연환경
가장 가까이는 양산근린공원이 있어 자연과 어울리기 좋습니다. 또한 가까이에 양산천이 흐르고 있어 양산천을 따라 가볍게 뛰거나 산책하기에도 좋습니다. 강 건너에는 작은오봉산이 있기 때문에 산이 좋으신 분들에게도 좋은 입지입니다.
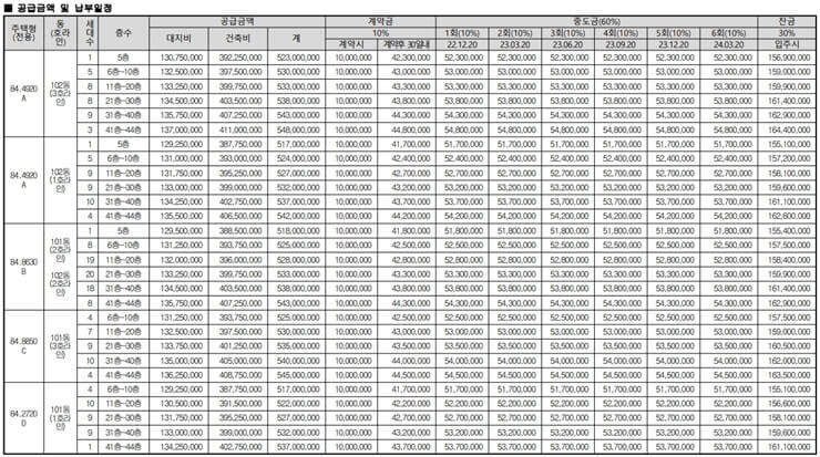
분양가

총 공급금액은 평균적으로 5.3억 원 수준입니다. 청약 당첨이 되셨다면 계약금으로 분양가의 10%인 5,300만 원 가량을 계약 시 1,000만원, 계약 후 30일 이내에 나머지 4,300만 원으로 나누어서 납부하셔야 합니다. 그 이후에는 3개월에 한번씩 10%인 5,300만원을 내시다가 입주시 잔금을 모두 내시면 완납이 되는 시스템입니다.
청약 일정

□ 특별공급 청약일 : 9/5(월) 09:00 ~ 17:30
□ 일반공급 1순위 청약일 : 9/6(화) 09:00 ~ 17:30
□ 일반공급 2순위 청약일 : 9/7(수) 09:00 ~ 17:30
□ 당첨자 발표 : 9/15(목)
□ 당첨자 사전 서류접수기간 : 9/17(토) ~ 9/24(토)
□ 계약 체결 : 9/26(월) ~ 9/28(수)
청약 1순위 자격
우선 양산 금호 리첸시아 시그니처 청약 신청 자격요건은 아래와 같습니다. 하나라도 해당하지 않는다면 신청 자체가 불가능하니 확인하시고 불이익 받지 않으시길 바랍니다.
① 최초 입주자 모집 공고일 현재 양산시에 거주하거나,
② 경상남도 및 부산광역시, 울산광역시에 거주하는,
③ 만 19세 이상인 자 또는 세대주인 미성년자 중,
④ 입주자 저축 순위별 자격요건을 갖춘 자
위 4개 항목 중 4번의 순위별 자격요건은 아래 표와 같습니다. 간단히 말씀드리자면 우선 필수로 주택청약종합저축에 가입되어 있으셔야 하고, 1순위 내용 읽어 보시고 나는 1순위가 아니다 하시면 2순위인 것입니다.

1순위 여부를 가릴 때 사용되는 청약 예치기준금액 기준은 아래 표를 참고하시기 바랍니다. 이번 청약은 모두 전용면적이 85m2 이하이기 때문에 첫 번째 줄만 만족하시면 되겠습니다.

결론
양산 금호 리첸시아 시그니처는 교통, 교육, 편의시설, 자연환경 등 여러 분양정보들을 고려해 보았을 때 매력적인 입지를 갖추고 있습니다. 양산을 포함한 경상남도에 거주하시는 분들이라면 신중히 고려하셔서 청약에 성공하시길 바라겠습니다.
댓글